简介
Link/Cut Tree 是一种数据结构,可以在单次操作均摊 $O(\log n)$ 内解决 动态树问题 ,并在大多数题目中复杂度吊打树链剖分。
Splay 是 LCT 的基础,但是 LCT ⽤的 Splay 和普通的 Splay 在细节处不太一样(进行了一些扩展)。
- Link/Cut Tree 的复杂度证明略有难度,建议初学时跳过复杂度证明。
问题模型
Link/Cut Tree 能够维护一个 森林 , 支持一下操作
- 删除某条边,并保证操作后仍是森林
- 加⼊某条边,并保证操作后仍是森林
- 对于 某个结点 或者 某条链 进行修改
- 查询 某个结点 , 某条链 或者 指定某个点为根时的某个子树 的信息。
基础 LCT
实链剖分
回顾一下树链剖分的过程,我们本质上进行了如下的操作:
- 对整棵树按子树⼤小进⾏剖分,并重新标号
- 重新标号之后,树上形成了若干以链为单位的连续区间,于是可以用线段树等数据结构进⾏区间操作
转向动态树问题,我们发现树链剖分以子树⼤小作为划分条件,然而在动态树问题中,子树大小会动态变化,静态的划分无法保证复杂度。 此需要重新定义一种新的链划分方式——实链剖分,要求能够根据需求自由切换。
对于⼀个点连向它所有儿子的边 , 我们自行选择⼀条边为实边,其他边则为虚边。 对于实边,我们称它所连接的儿子为实儿子。 对于⼀条由实边组成的链,我们同样称之为实链。
选择实链剖分的最重要的原因:它是我们选择的,灵活且可变。 正是它的这种灵活可变性,我们采用 Splay Tree 来维护这些实链。
辅助树
我们可以简单的把 LCT 理解成用⼀些 Splay 来维护动态的树链剖分,以期实现动态树上的区间操作。 对于每条实链,我们建⼀个 Splay 来维护整个链区间的信息。
我们先来看⼀看辅助树的一些性质
- 原树每个节点与 Splay 的节点一一对应。
- 辅助树由多棵 Splay 组成,每棵 Splay 维护原树中的一条链,且该 Splay 的中序遍历满足结点深度递。
- 辅助树的各棵 Splay 之间并不是独立的。对于每棵 Splay 的根结点,如果该结点对应原树的根,则该结点的父亲为空,否则为该 Splay 对应实中最浅的结点在原树上的父亲,这条边对应原树的一条 虚边 。因此,每棵树恰好有一个点的父亲节点为空。
- 由于辅助树的以上性质,我们维护任何操作都不需要维护原树,辅助树在任何情况下都能唯一确定原树,我们只需要维护辅助树即可。
注意 :原树的根可能不是辅助树的根。
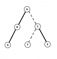
一个辅助树的例子:
如图,现在有⼀棵原树,加粗边是实边,虚线边是虚边。

由刚刚的定义,一棵可能的辅助树结构如下

辅助树有如下性质:
- 原树中的某条实链上的点,在辅助树中对应节点都在一棵 Splay 中。
- 辅助树是可以在满足辅助树、Splay 的性质下任意换根的。
- 虚实链变换可以轻松在辅助树上完成,这也就实现了动态维护树链剖分。
操作实现
结点定义
struct LCTNode {
LCTNode *f = nullptr;
LCTNode *s[2] = {nullptr, nullptr};
bool rev = false;
/* ... */
};
具体的解释:
f: 其在 Spaly 上的父亲s:s[0]代表该结点在 Splay 上的左儿子,s[1]代表右儿子rev: 子树翻转标记
根据维护的操作种类,我们可能还需要记录一些其他信息。
和普通 Splay 相同的部分
struct LCTNode {
void update();
void push_up();
void push_down();
void reverse();
void rotate();
void splay();
};
一些注意点:
- 进行
rotate的时候如果一个点连向父亲的便是虚边,不能更新该结点父亲的儿子信息(因为两者实际上并不在一棵 Splay 中)。 - 在普通 Splay 中,我们需要从根往下走才能定位某个结点,在这个过程中完成了
push_down操作。但在 LCT 中,一个结点是直接通过在原树中的编号确定的,所以在实现splay的时候要先将该点所有的祖先push_down。
新操作
struct LCTNode {
void access();
void make_root();
LCTNode *find_root();
};
void link(LCTNode *u, LCTNode *v);
void split(LCTNode *u, LCTNode *v);
void split(LCTNode *u, LCTNode *v);
access
access 的功能是将该结点到根上的所有边变为实边,并将这个点的所有儿子变为虚儿子 。
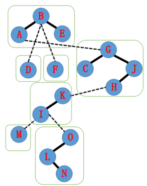
假设我们有这样一棵树,实线为实边,虚线为虚边。

它的辅助树可能长成这样,每个绿框里是一棵 Splay。

现在我们要进行 N->access() , 把 $A$ 到 $N$ 路径上的边都变为实边,拉成一棵 Splay。

实现的方法是从下到上逐步更新 Splay。
首先我们要把 $N$ 旋至当前 Splay 的根。
为了保证辅助树的性质,原来 $N$ 到 $O$ 的实边要更改为虚边。
由于认父不认子的性质,我们可以单方面的把 $N$ 的儿子改为空。
于是原来的辅助树就从下图变成了下下图。


下一步,我们把 $N$ 的父亲 $I$ 也旋转到根。
原来的实边 $I \to K$ 要去掉,这时候我们把 $I$ 的右儿子指向 $N$, 就得到了 $I$—$L$ 这样一棵 Splay。

接下来,按照刚刚的操作步骤,由于 $I$ 的父亲为 $H$, 我们把 $H$ 旋转到他所在 Splay 的根,然后把 $H$ 的 右儿子 设为 $I$。
之后的树是这样的:

同理我们将 A 旋转到根, 并把 $A$ 的右儿子指向 $H$。
于是我们得到了这样一棵辅助树。并且发现 $A \to N$ 的整个路径已经在同一棵 Splay 中了。大功告成!

代码实现:
void LCTNode::access() {
Node *uu = this, *ss = nullptr;
while (uu != nullptr) {
uu->splay();
uu->s[1] = ss;
uu->push_up();
ss = uu;
uu = uu->f;
}
}
总结一下,我们发现 access 有如下四步操作:
- 把当前节点转到根
- 把儿子换成之前的节点
- 更新当前点的信息
- 把当前点换成当前点的父亲,继续操作
make_root
我们在需要维护路径信息的时候,会出现路径深度无法严格递增的情况。根据辅助树的的性质,这种路径是不能出现在一棵 Splay 中的。因此,我们需要一种操作,将一个点变成原树的根。
考虑一次换根做了什么,假设原先根为 $R$,当前结点为 $U$,我们需要将 $R \to U$ 的路径翻转,变为 $U \to R$。因此我们只需要将 $U$ 结点 access ,然后将这棵 Splay 翻转。
代码实现:
void LCTNode::make_root() {
access();
splay();
reverse();
}
find_root
find_root 返回一个森林的根,常用于判断两个点是否属于同一联通块。
将该点 access 、 splay 后,该联通块的根即为 Splay 中最左侧的点,直接不断往搜索走即可。
注意这里在大部分情况下不需要 push_down ,如果为了保险起见也可以写上。
注意找到根以后需要将根 splay 以保证复杂度。
代码实现:
LCTNode *LCTNode::find_root() {
access();
splay();
LCTNode *uu = this;
uu->push_down();
while (uu->s[0] != nullptr) {
uu = uu->s[0];
uu->push_down();
}
uu->splay();
return uu;
}
link
link 操作将原树上的两个点之间加边(虚边)
做法非常显然,先将一个点变为根,然后将其的父亲设为另一个结点。
代码实现:
void link(LCTNode *u, LCTNode *v) {
u->make_root();
u->f = v;
}
split
split 操作将两点之间的路径提取出来,便于查询。
先将其中的一个点 make_root ,这样这条路径的深度严格递增。将另外一个点 access 再 splay ,这样这个点上的信息就是该路径的信息
代码实现:
void split(LCTNode *u, LCTNode *v) {
u->make_root();
v->access();
v->splay();
}
cut
断边操作有两种情况,保证合法和不一定保证合法。
如果保证合法,那么直接将这两个点 split 出来,此时这两个点之间连的是实边,直接在 Splay 上切断即可。
保证合法的代码实现:
void cut(LCTNode *u, LCTNode *v) {
split(u, v);
v->s[0] = u->f = nullptr;
v->push_up();
}
如果是不保证合法,我们需要判断一下两个点之间是否有边。判断的条件为:
- 两个点在同一个联通块内
- 两个点的距离为 1
判断距离可以直接看 Splay 的大小。
不保证合法的代码实现:
void cut(LCTNode *u, LCTNode *v) {
if (u->find_root() != v->find_root())
throw std::invalid_argument("u is not directly connected with v!");
split(u, v);
if (v->s[1] != nullptr ||
u->s[0] != nullptr ||
u->s[1] != nullptr)
throw std::invalid_argument("u is not directly connected with v!");
v->s[0] = u->f = nullptr;
v->push_up();
}
完整实现(以维护链异或和为例)
// Copyright (C) 2018-2020 Jacder Zhang
// This program is free software: you can redistribute it and/or modify
// it under the terms of the GNU General Public License as published by
// the Free Software Foundation, either version 3 of the License, or
// (at your option) any later version.
// This program is distributed in the hope that it will be useful,
// but WITHOUT ANY WARRANTY; without even the implied warranty of
// MERCHANTABILITY or FITNESS FOR A PARTICULAR PURPOSE. See the
// GNU General Public License for more details.
// You should have received a copy of the GNU General Public License
// along with this program. If not, see <https://www.gnu.org/licenses/>.
#include <bits/stdc++.h>
struct LCTNode {
LCTNode *f = nullptr;
LCTNode *s[2] = {nullptr, nullptr};
bool rev = false;
int val = 0, sum = 0;
bool is_root();
bool get_son();
void push_up();
void reverse();
void push_down();
void push();
void rotate();
void splay();
void access();
void make_root();
LCTNode *find_root();
};
bool LCTNode::is_root() {
return f == nullptr ||
(f->s[0] != this && f->s[1] != this);
}
bool LCTNode::get_son() {
return this == f->s[1];
}
void LCTNode::push_up() {
sum = val;
if (s[0] != nullptr) sum ^= s[0]->sum;
if (s[1] != nullptr) sum ^= s[1]->sum;
}
void LCTNode::reverse() {
rev = !rev;
std::swap(s[0], s[1]);
}
void LCTNode::push_down() {
if (rev) {
if (s[0] != nullptr) s[0]->reverse();
if (s[1] != nullptr) s[1]->reverse();
rev = false;
}
}
void LCTNode::push() {
if (!is_root()) f->push();
push_down();
}
void LCTNode::rotate() {
LCTNode *const uu=this, *ff=f, *aa=ff->f;
bool ss = uu->get_son();
if (!ff->is_root()) aa->s[ff->get_son()] = uu;
ff->f = uu, ff->s[ss] = uu->s[!ss];
uu->f = aa; uu->s[!ss] = ff;
if (ff->s[ss] != nullptr) ff->s[ss]->f = ff;
ff->push_up(), uu->push_up();
}
void LCTNode::splay() {
push();
while (!is_root()) {
if (f->is_root()) {
rotate();
return;
}
(get_son() == f->get_son() ? f : this)->rotate();
rotate();
}
}
void LCTNode::access() {
LCTNode *uu = this, *ss = nullptr;
while (uu != nullptr) {
uu->splay();
uu->s[1] = ss;
uu->push_up();
ss = uu;
uu = uu->f;
}
}
void LCTNode::make_root() {
access();
splay();
reverse();
}
LCTNode *LCTNode::find_root() {
access();
splay();
LCTNode *uu = this;
uu->push_down();
while (uu->s[0] != nullptr) {
uu = uu->s[0];
uu->push_down();
}
uu->splay();
return uu;
}
void link(LCTNode *const u, LCTNode *const v) {
if (u->find_root() == v->find_root())
throw std::invalid_argument("u and v are already connected");
u->make_root();
u->splay();
u->f = v;
}
void split(LCTNode *const u, LCTNode *const v) {
u->make_root();
v->access();
v->splay();
}
void cut(LCTNode *u, LCTNode *v) {
if (u->find_root() != v->find_root())
throw std::invalid_argument("u is not directly connected with v!");
split(u, v);
if (v->s[1] != nullptr ||
u->s[0] != nullptr ||
u->s[1] != nullptr)
throw std::invalid_argument("u is not directly connected with v!");
v->s[0] = u->f = nullptr;
v->push_up();
}
constexpr int N = 100005;
LCTNode p[N];
int main() {
int n, m;
scanf("%d%d", &n, &m);
for (int i=1; i<=n; ++i) {
scanf("%d", &p[i].val);
}
for (int i = 0; i < m; ++i) {
int opt, u, v;
scanf("%d%d%d", &opt, &u, &v);
if (opt == 0) {
split(&p[u], &p[v]);
printf("%d\n", p[v].sum);
} else if (opt == 1) {
try {
link(&p[u], &p[v]);
} catch (...) {}
} else if (opt == 2) {
try {
cut(&p[u], &p[v]);
} catch (...) {}
} else {
p[u].splay();
p[u].val = v;
p[u].push_up();
}
}
return 0;
}
LCT 进阶
维护边信息
LCT 的辅助树只能方便的维护点的信息,不能维护边的信息。
如果题目要求维护边的信息,则可以采用边转点的技巧,即对于每一条边,新增一个点记录边上的信息。
假如有如下原树:

边转点以后得到:

维护子树信息
查询原树子树信息需要在每个结点上记录其虚儿子的信息,并在虚实链切换时维护这些信息。
与普通 LCT 不同,维护子树信息的 LCT 需要在每个结点上维护一下信息(以子树和为例):
vtot:该点所有虚儿子的atot之和,加上该点权值atot:该点的vtot加上 Splay 上左右儿子的atot
根据上述定义,我们需要修改普通 LCT 的以下函数:
push_up:根据atot的定义进行操作access:该过程中会进行虚实边切换,需要维护vtotlink:该操作新增一条虚边,需要维护vtot
注意 cut 操作切断的是实边,无需维护 vtot
具体实现:
void LCTNode::push_up() {
atot = vtot;
if (s[0] != nullptr) atot += s[0]->atot;
if (s[1] != nullptr) atot += s[1]->atot;
}
void LCTNode::access() {
LCTNode *uu = this, *ss = nullptr;
while (uu != nullptr) {
uu->splay();
// uu->s[1] 从实儿子变为虚儿子
if (uu->s[1] != nullptr)
uu->vtot += uu->s[1]->atot;
uu->s[1] = ss;
// ss 从虚儿子变为实儿子
if (uu->s[1] != nullptr)
uu->vtot -= uu->s[1]->vtot;
uu->push_up();
ss = uu;
uu = uu->f;
}
}
void link(LCTNode *u, LCTNode *v) {
u->make_root();
// 如果不对 v 进行 make_root 的话 v 的祖先的虚子树信息无法得到更新
v->make_root();
u->f = v;
v->vtot += u->atot;
// 因为修改了 v 的信息所以要 push_up
v->push_up();
}
例题
[SDOI2008] Cave
有 $n$ 个点,一开始没有连边。有 $m$ 次操作,操作有 3 种类型:
连接某两个点
断开某一条边
还有一种是询问两个点是否连通。
操作过程中保证整个图是森林。
直接用 LCT 进行连边和删边,用 find_root 判断联通性即可。
[WC2006] 水管局长
$n$ 个点的图,$m$ 条带权边,有 $q$ 次操作,操作有两种类型:
- 在节点 $x$ 到 $y$ 的之间所有路径中找一条路径,使得这条路径上的最大边权尽量小,输出这个最小值。
- 删除某一条边
操作过程中保证图连通。
运用“时光倒流”的技巧,先假设所有边都被删掉,然后倒过来一边加边一边回答询问。
加边的时候如果发现两个点已经联通,那么就找到两个点路径上权值最大的边,如果当前的边权值比这条边小,那么找到的这条边以后都不会出现在最优路径中,因此可以删掉,用新加入的这条边替换。这样可以保证我们维护的始终是一个森林。
找到路径上权值最大的边需要用到边转点的技巧。
Codechef MARCH14 GERALD07
$N$ 个点 $M$ 条边的无向图,询问保留图中编号在 $[l,r]$ 的边的时候图中的联通块个数。
首先,将边按照编号顺序依次加入图中。每当出现环时,将环中最早加入的边弹出。记第 $i$ 条边被弹出的时间为 $T_i$ ,表示在第 $T_i$ 条边加入的时候,第 i 条边被弹出了。
联通块个数等于点数减生成森林的边树。对于一个时间区间 $[l,r]$,满足 $l \leq i \leq r <T_i $ 的边会出现在生成森林中,于是就把问题转化为二维数点,可以使用可持久化线段树或离线后用树状数组解决。
最小差值生成树
给定 $N$ 个点,$M$ 条变的图,求边权极差最小的生成树。
考虑确定生成树边权的最大值,求出该情况下生成树边权最小值的最大值。
按照边权从小到大加边,如果两点已经联通则删去两点之间权值最小的边,维护树边中权值最小值即可。
[UOJ207] 共价大爷游长沙
给定一个 $n$ 个节点的树,有 $m$ 次操作,操作有以下 $4$ 种类型:
- 给定四个正整数 $x,y,u,v$,表示先删除连接点 $x$ 和点 $y$ 的无向边,保证存在这样的无向边,然后加入一条连接点 $u$ 和点 $v$ 的无向边,保证操作后的图仍然是一棵树。
- 给定两个正整数 $x,y$,表示在 $S$ 中加入点对 $(x,y)$。
- 给定一个正整数 $x$,表示删除第 $x$ 个加入 $S$ 中的点对,即在第 $x$ 个操作 2 中加入 $S$ 中的点对,保证这个点对存在且仍然在 $S$ 中。
- 给定两个正整数 $x,y$,询问连接点 $x$ 和点 $y$ 的边是否属于 $S$ 集合中的所有路径的交集,保证存在这样的无向边且此时 $S$ 不为空。
首先,我们发现询问一条边 $(x,y)$ 是否是所有路径的交集,可以转化成将 $x$ 变成根,询问在 $S$ 集合中的每一条路径是否都有且仅有一个端点出现在 $y$ 子树中。
于是,问题转化成了维护子树信息。对于每一条路径的两端点,我们随机一个值,并将两个端点的权值异或上该值,于是原问题就变成了 LCT 维护子树节点权值异或和 。
[ZJOI2018] 历史
给一棵树,点有点权 $a_i$。第 $i$ 个点要
access恰好 $a_i$ 次,要求构造一个access的顺序最大化轻重边切换次数,你还要支持增大一个点的点权。
首先我们得有一个多项式复杂度的玩意。
钦定两次 access 在 LCA 处贡献。那么枚举 LCA ,将子树 $x$(以及自己的点权)中的所有 access 看成一种,那么我们得到的问题就是,有若干不同颜色的球 ,你要将他们排列起来,最大化相邻的异色球数量。
这是一个经典问题,记 $S$ 为球数和,$\textit{maxv}$ 为出现次数最多的球的出现次数,则:
若$S-\textit{maxv}< \textit{maxv}$,则应该用其他所有球去和最多的球拼(最多的球也还有剩余,即$2(S-\textit{maxv})$
否则,最多的球能完全贡献(不会同色相邻),并且可以证明所有球都能完全贡献,即$S-1$
做一个树形dp就好了,复杂度 $O(n)$。
接下来考虑怎么支持修改。
性质1:记 $y$ 为 $x$ 出现次数严格大于一半的儿子(可能不存在,那就留空),那么当 $x$ 的子树中点权增大时,$y$ 仍为 $x$ 出现次数严格大于一半的儿子,并且 $x$ 的贡献不变。
性质2:任意一个点到根,大部分都是从出现次数严格大于一半的儿子走到父亲,不是这样的只有$\log \sum a_i$ 条。
那么就可以想到,将出现次数严格大于一半的儿子记为实儿子,用LCT维护,不存在就留空(为了避免实儿子是自己,可以新建一个点把点权放在上面)。
修改的时候,我们魔改 LCT 的 access 操作(由性质1,实链上的点只有链底可能变化),判断一下是否割掉原本的实儿子,是否将现在的点作为新的实儿子即可,同时统计贡献。
由性质2,一个点到根只有 $O(\log \sum a_i)$ 条实链,每条实链上 splay 代价 $O(\log n)$,那么一个显然的上界是每次均摊 $O(\log n\log \sum a_i)$。
凭什么都是 LCT 魔改后要多一只 $\log$?
你可以拿起笔,在草稿纸上涂涂画画,写下一堆形如 $\phi + \sum f'(x) − \sum f(x)$ 的东西,然后拍案而起:“这样做复杂度是 $O(\log n + \log \sum a_i)$ 的!”
后记
如果你不是熟练的 OI 选手,没有关系,百度上有本文所需的所有前置知识。
本文中没有复杂度分析,因为分析的方法很多,无论你是 $\phi + \sum f'(x) − \sum f(x)$ 的均摊分析选手,还是运算次数每加一规模减半的毛估估大师,都可以轻松得到正确的复杂度。
然而这并没有什么用,因为理论复杂度与运行效率没有直接关系,LCT 只能出成交互题卡卡交互次数,树链剖分还是得学的。
出题人一般是比较懒的,只会造菊花加链加二叉树。
参考文献:
[1]: 董永建,宋新波,徐先友等,《信息学奥赛一本通 (C++ 版)》,科学技术文献出版社
[2]: 张哲宇, 浅谈树上分治算法, IOI2019 中国国家候选队论文集, 2019
[4]: LCT入门教程 - zzd233
[5]: 均摊分析 学习笔记 - zzd233
